Characteristics and risk factors for outcomes in patients with Mycoplasma pneumoniae mono- and coinfections: A ulticenter surveillance study in Wuhan, China, 2023

摘要

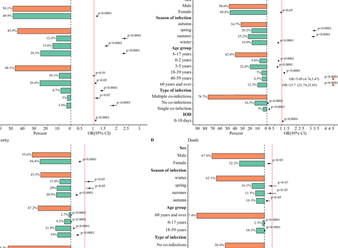
Objectives Mycoplasma pneumoniae (MP) is a key cause of community-acquired pneumonia, and coinfections lead to varied patient outcomes. A comprehensive understanding of the outcome characteristics and associated etiologies of coinfections in MP patients is lacking. Methods and results We analyzed 121,357 MP cases from 522,292,680 visits in Wuhan, China, in 2023 (the final year of the COVID-19 pandemic). Children aged 1-10 years had the highest incidence, whereas those over 60 years had elevated hospitalization, severe infection, and fatality rates. Coinfection patterns differed by age, with bacterial-viral-Chlamydia pneumoniae (C. pneumoniae) / other pathogens prevalent in infants, bacterial-viral pathogens prevalent in preschoolers, and viral-viral pathogens prevalent in school-aged children. Bacterial coinfections were most common in MP-infected patients, especially those who were hospitalized. Coinfection, especially with C. pneumoniae, Pseudomonas aeruginosa (P. aeruginosa), Haemophilus influenzae (H. influenzae), and Streptococcus pneumoniae (S. pneumoniae), increased hospitalization rates. The most severe outcomes and deaths occurred in patients coinfected with C. pneumoniae-severe acute respiratory syndrome coronavirus 2 (SARS-CoV-2), influenza A-parainfluenza virus (PIV) or adenovirus-PIV. Logistic regression analysis demonstrated that male sex and adult age (particularly ≥40 years) were significantly associated with adverse outcomes in MP monoinfection. For coinfections, significantly higher hospitalization rates were reported among very young children (0-5 years) and adults aged ≥40 years, whereas adults presented an increased risk of severe disease. Coinfection outcomes were significantly associated with seasons of the year (winter, spring, and summer), specific age groups (3-5 years, 18-39 years, 40-50 years, and 60 years and over), gender (male), and longer onset-to-diagnosis periods. Middle-aged and elderly patients, coinfection, spring and summer, gender (male), and longer onset-to-diagnosis periods were significantly associated with increased hospitalization and serious illness risk. Coinfection, winter, older (adult) age, and gender (male) were significantly associated with an increased risk of death. Conclusions Compared with adults, children with MP have a greater morbidity risk, whereas middle-aged and older adults face greater risks of hospitalization, serious illness, and death. Coinfection with other pathogens heightens hospitalization and death risks. These insights are crucial for etiological screening, diagnosing multiple pathogens, and preventing and treating infections.

出版物
Infectious Disease Modelling
DOI
10.1016/j.idm.2025.04.006
2025